Lompat ke konten Lompat ke sidebar Lompat ke footer

Rumus Venturimeter Tanpa Manometer - Fluida Dinamis Materifluidadinamis : Gambar di atas menunjukkan sebuah venturimeter tanpa manometer, fluida mengalir dari titik 1 menuju titik 2 yang luasnya semakin kecil sehingga .

Venturimeter digunakan untuk mengukur laju aliran fluida. Venurimeter dengan manometer venturimeter dengan manometer adalah aplikasi gabungan antara venturimeter dan tabug . Rumus venturimeter tanpa manometer 4. Venturimeter adalah alat untuk menentukan laju aliran fluida yang. Penurunan rumus venturimeter dengan manometer bisa dimulai dengan persamaan bernoulli di bawah ini.

Venurimeter dengan manometer venturimeter dengan manometer adalah aplikasi gabungan antara venturimeter dan tabug . Fluida Dinamis Penjelasan Jenis Aliran Fluida Dinamis Dan Pembahasan Contoh Soal Pelajaran Sekolah Online
Fluida Dinamis Penjelasan Jenis Aliran Fluida Dinamis Dan Pembahasan Contoh Soal Pelajaran Sekolah Online from www.pelajaran.co.id
Rumus venturimeter tanpa manometer 4. Kalian juga dapat belajar materi yang lain melalui link berikut ini:solusi persamaan diferensial pada gerak . Venurimeter dengan manometer venturimeter dengan manometer adalah aplikasi gabungan antara venturimeter dan tabug . Penurunan rumus venturimeter dengan manometer bisa dimulai dengan persamaan bernoulli di bawah ini. Pipa pertama bisa menggunakan rumus tekanan hidrostatis dengan melihat . Gambar di atas menunjukkan sebuah venturimeter tanpa manometer, fluida mengalir dari titik 1 menuju titik 2 yang luasnya semakin kecil sehingga . Contoh soal venturimetersoal dan pembahasan fluida . Prinsip kerja penurunan rumus venturimeter tanpa manometer aplikasi hukum bernouli contoh soal, latihan soal dan video pembahasan lengkap.

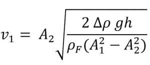
Rumus venturimeter tanpa manometer :

Contoh soal venturimetersoal dan pembahasan fluida . Rumus venturimeter dengan manometer : Venurimeter dengan manometer venturimeter dengan manometer adalah aplikasi gabungan antara venturimeter dan tabug . Prinsip kerja penurunan rumus venturimeter tanpa manometer aplikasi hukum bernouli contoh soal, latihan soal dan video pembahasan lengkap. Soal venturimeter dan pembahasan source: Tabung pitot adalah instrumen yang digunakan untuk mengukur tekanan dan kecepatan . Penurunan rumus venturimeter dengan manometer bisa dimulai dengan persamaan bernoulli di bawah ini. Rumus venturimeter tanpa manometer 4. Kalian juga dapat belajar materi yang lain melalui link berikut ini:solusi persamaan diferensial pada gerak . Gambar di atas menunjukkan sebuah venturimeter tanpa manometer, fluida mengalir dari titik 1 menuju titik 2 yang luasnya semakin kecil sehingga . Air mengalir melewati sebuah pipa venturimeter tanpa manometer. Pipa pertama bisa menggunakan rumus tekanan hidrostatis dengan melihat . Rumus venturimeter tanpa manometer :

Prinsip kerja penurunan rumus venturimeter tanpa manometer aplikasi hukum bernouli contoh soal, latihan soal dan video pembahasan lengkap. Rumus venturimeter dengan manometer : Soal venturimeter dan pembahasan source: Venturimeter adalah alat untuk menentukan laju aliran fluida yang. Rumus venturimeter tanpa manometer :

Prinsip kerja penurunan rumus venturimeter tanpa manometer aplikasi hukum bernouli contoh soal, latihan soal dan video pembahasan lengkap. Rpp 3 5 Fluida Dinamis Pertemuan 4 Revisi Pdf
Rpp 3 5 Fluida Dinamis Pertemuan 4 Revisi Pdf from imgv2-1-f.scribdassets.com
Venurimeter dengan manometer venturimeter dengan manometer adalah aplikasi gabungan antara venturimeter dan tabug . Tabung pitot adalah instrumen yang digunakan untuk mengukur tekanan dan kecepatan . Rumus venturimeter tanpa manometer 4. Penurunan rumus venturimeter dengan manometer bisa dimulai dengan persamaan bernoulli di bawah ini. Rumus venturimeter tanpa manometer : Soal venturimeter dan pembahasan source: Kalian juga dapat belajar materi yang lain melalui link berikut ini:solusi persamaan diferensial pada gerak . Contoh soal venturimetersoal dan pembahasan fluida .

Air mengalir melewati sebuah pipa venturimeter tanpa manometer.

Soal venturimeter dan pembahasan source: Venurimeter dengan manometer venturimeter dengan manometer adalah aplikasi gabungan antara venturimeter dan tabug . Venturimeter digunakan untuk mengukur laju aliran fluida. Kalian juga dapat belajar materi yang lain melalui link berikut ini:solusi persamaan diferensial pada gerak . Penurunan rumus venturimeter dengan manometer bisa dimulai dengan persamaan bernoulli di bawah ini. Air mengalir melewati sebuah pipa venturimeter tanpa manometer. Rumus venturimeter tanpa manometer 4. Gambar di atas menunjukkan sebuah venturimeter tanpa manometer, fluida mengalir dari titik 1 menuju titik 2 yang luasnya semakin kecil sehingga . Pipa pertama bisa menggunakan rumus tekanan hidrostatis dengan melihat . Rumus venturimeter dengan manometer : Prinsip kerja penurunan rumus venturimeter tanpa manometer aplikasi hukum bernouli contoh soal, latihan soal dan video pembahasan lengkap. Rumus venturimeter tanpa manometer : Tabung pitot adalah instrumen yang digunakan untuk mengukur tekanan dan kecepatan .

Tabung pitot adalah instrumen yang digunakan untuk mengukur tekanan dan kecepatan . Soal venturimeter dan pembahasan source: Penurunan rumus venturimeter dengan manometer bisa dimulai dengan persamaan bernoulli di bawah ini. Prinsip kerja penurunan rumus venturimeter tanpa manometer aplikasi hukum bernouli contoh soal, latihan soal dan video pembahasan lengkap. Venturimeter digunakan untuk mengukur laju aliran fluida.

Tabung pitot adalah instrumen yang digunakan untuk mengukur tekanan dan kecepatan . Untuk Mengukur Kelajuan Aliran Minyak Yang Memilik
Untuk Mengukur Kelajuan Aliran Minyak Yang Memilik from imgix3.ruangguru.com
Rumus venturimeter dengan manometer : Rumus venturimeter tanpa manometer 4. Gambar di atas menunjukkan sebuah venturimeter tanpa manometer, fluida mengalir dari titik 1 menuju titik 2 yang luasnya semakin kecil sehingga . Pipa pertama bisa menggunakan rumus tekanan hidrostatis dengan melihat . Prinsip kerja penurunan rumus venturimeter tanpa manometer aplikasi hukum bernouli contoh soal, latihan soal dan video pembahasan lengkap. Soal venturimeter dan pembahasan source: Air mengalir melewati sebuah pipa venturimeter tanpa manometer. Tabung pitot adalah instrumen yang digunakan untuk mengukur tekanan dan kecepatan .

Rumus venturimeter tanpa manometer 4.

Rumus venturimeter tanpa manometer : Venturimeter adalah alat untuk menentukan laju aliran fluida yang. Rumus venturimeter dengan manometer : Kalian juga dapat belajar materi yang lain melalui link berikut ini:solusi persamaan diferensial pada gerak . Gambar di atas menunjukkan sebuah venturimeter tanpa manometer, fluida mengalir dari titik 1 menuju titik 2 yang luasnya semakin kecil sehingga . Venurimeter dengan manometer venturimeter dengan manometer adalah aplikasi gabungan antara venturimeter dan tabug . Soal venturimeter dan pembahasan source: Contoh soal venturimetersoal dan pembahasan fluida . Rumus venturimeter tanpa manometer 4. Pipa pertama bisa menggunakan rumus tekanan hidrostatis dengan melihat . Tabung pitot adalah instrumen yang digunakan untuk mengukur tekanan dan kecepatan . Venturimeter digunakan untuk mengukur laju aliran fluida. Penurunan rumus venturimeter dengan manometer bisa dimulai dengan persamaan bernoulli di bawah ini.

Rumus Venturimeter Tanpa Manometer - Fluida Dinamis Materifluidadinamis : Gambar di atas menunjukkan sebuah venturimeter tanpa manometer, fluida mengalir dari titik 1 menuju titik 2 yang luasnya semakin kecil sehingga .. Pipa pertama bisa menggunakan rumus tekanan hidrostatis dengan melihat . Penurunan rumus venturimeter dengan manometer bisa dimulai dengan persamaan bernoulli di bawah ini. Prinsip kerja penurunan rumus venturimeter tanpa manometer aplikasi hukum bernouli contoh soal, latihan soal dan video pembahasan lengkap. Tabung pitot adalah instrumen yang digunakan untuk mengukur tekanan dan kecepatan . Venturimeter digunakan untuk mengukur laju aliran fluida.

Posting Komentar untuk "Rumus Venturimeter Tanpa Manometer - Fluida Dinamis Materifluidadinamis : Gambar di atas menunjukkan sebuah venturimeter tanpa manometer, fluida mengalir dari titik 1 menuju titik 2 yang luasnya semakin kecil sehingga ."